talynt.org
HOME
About
Contact
Disclaimer
Privacy
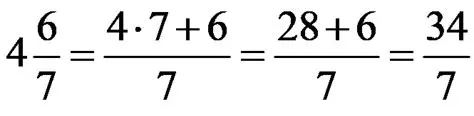
Applying the Conversion Formula
Oct 13, 2025
by talynt.org
61
views