talynt.org
HOME
About
Contact
Disclaimer
Privacy
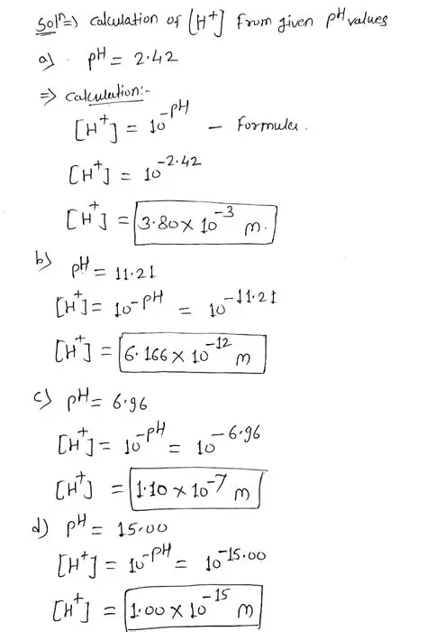
Calculating Hydrogen Ion Concentration
Oct 13, 2025
by talynt.org
132
views