talynt.org
HOME
About
Contact
Disclaimer
Privacy
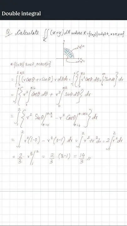
Calculating the Double Integral
Oct 13, 2025
by talynt.org
103
views