talynt.org
HOME
About
Contact
Disclaimer
Privacy
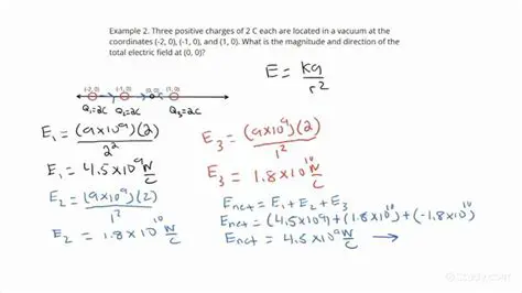
Calculating the Electric Field
Oct 13, 2025
by talynt.org
62
views