talynt.org
HOME
About
Contact
Disclaimer
Privacy
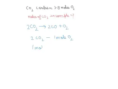
Calculating the Mass of Oxygen in a Sample of Carbon Dioxide
Oct 13, 2025
by talynt.org
129
views