talynt.org
HOME
About
Contact
Disclaimer
Privacy
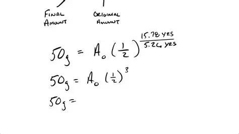
Solving for the Final Amount
Oct 13, 2025
by talynt.org
74
views