talynt.org
HOME
About
Contact
Disclaimer
Privacy
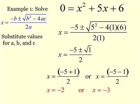
Substituting Values into the Quadratic Formula
Oct 13, 2025
by talynt.org
112
views