talynt.org
HOME
About
Contact
Disclaimer
Privacy
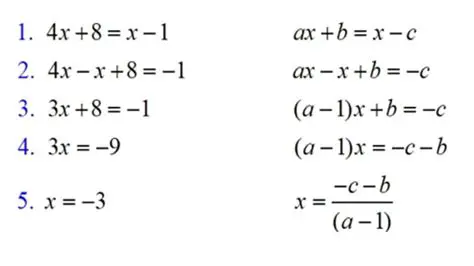
Types of Mathematical Equations
Oct 13, 2025
by talynt.org
26
views