talynt.org
HOME
About
Contact
Disclaimer
Privacy
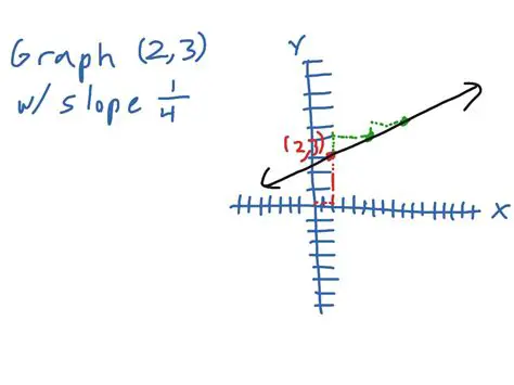
Using the Given Point and Slope
Oct 13, 2025
by talynt.org
98
views