talynt.org
HOME
About
Contact
Disclaimer
Privacy
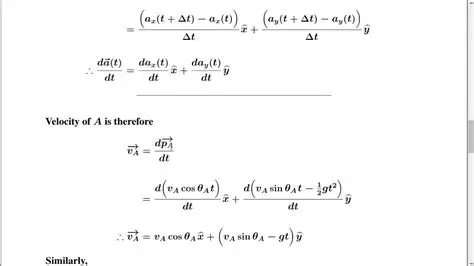
Velocity Vector Derivative
Oct 13, 2025
by talynt.org
95
views