talynt.org
HOME
About
Contact
Disclaimer
Privacy
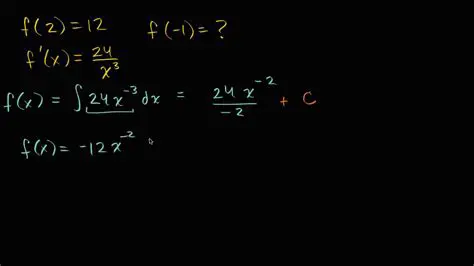
Finding a Specific Solution
Oct 13, 2025
by talynt.org
16
views